≣ 목차
와트 킬로와트 정의
"와트"는 전기의 힘을 측정하는 단위입니다. 쉽게 말해, 얼마나 빠르게 전기가 일을 할 수 있는지를 나타냅니다. 전기를 많이 사용할수록, 즉 전력이 강할수록 와트 수가 커집니다.
- 전기 소비량: 전기 기기들이 얼마나 많은 전기를 사용하는지 알 수 있게 해 줍니다. 예를 들어, 100W 전구는 100와트를 사용하는 전구입니다.
- 에너지 소비: 1와트는 1초 동안 1줄의 에너지를 소비한다는 의미입니다. 줄은 에너지의 단위죠.
예시
- 100W 전구: 이 전구는 1초에 100줄의 에너지를 사용합니다. 즉, 1시간 동안 100와트의 전력을 계속 사용하면 100와트 x 1시간(3600초)만큼 에너지를 소비하는 셈입니다.
- 1000W(1킬로와트): 더 큰 전기 기기(예: 전자레인지, 에어컨)는 더 많은 전력을 사용해 1000와트처럼 더 큰 값을 가질 수 있습니다.
간단히 말하면, 와트는 전기 기기가 얼마나 많은 전력을 소비하는지, 혹은 얼마나 빠르게 일을 할 수 있는지를 나타내는 숫자입니다.
전기 와트 계산법
전기에서 "와트"는 전력을 측정하는 단위입니다. 전력을 계산하려면 전압(V), 전류(A), 또는 저항(Ω) 값을 이용할 수 있습니다.
1. 전력 계산 공식 (옴의 법칙 활용)
전력(W)은 전압(V)과 전류(A)의 곱으로 계산됩니다.
전력(W)=전압(V)×전류(A)
예시
전압이 220V이고, 전류가 2A인 경우, 전력(W)=220 V×2A=440W
즉, 440와트의 전력이 소비됩니다.
2. 전력 계산 시 저항이 있을 경우
옴의 법칙에 따라 전압(V)과 전류(I), 저항(R) 사이에는 관계가 있습니다. 저항 값이 주어졌다면, 다음 공식을 사용할 수 있습니다.

예시
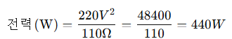
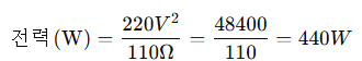
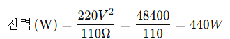
220V 전압이 걸린 회로에서 저항이 110Ω인 경우,

이 경우에도 440와트의 전력이 소비됩니다.
3. 전기 기기 사용 시간에 따른 소비 전력 계산
전기 기기의 사용 시간도 전력 소비에 영향을 미칩니다. 기기의 전력 소비를 알고 있다면, 사용 시간에 따라 얼마나 많은 에너지가 소비되는지를 계산할 수 있습니다.

예시
- 100W 전구를 5시간 동안 사용할 경우,

즉, 5시간 동안 0.5킬로 와트시(kWh)의 에너지를 소비하게 됩니다. 이렇게 와트 계산은 전압, 전류, 저항 등을 바탕으로 계산할 수 있습니다.
led와트와 백열전구 와트 차이
LED 전구는 백열전구보다 훨씬 효율적이며, 낮은 와트로도 비슷한 밝기를 낼 수 있습니다. 예를 들어, 60W 백열전구는 8W~12W LED 전구로 대체할 수 있습니다. LED 전구는 에너지 절약과 긴 수명이 큰 장점입니다.
1. 에너지 효율 차이
- 백열전구는 대부분의 에너지를 열로 방출하고, 빛을 만드는 효율이 낮습니다. 즉, 많은 전력을 소모하지만, 실제로 우리가 사용하는 빛의 양은 상대적으로 적습니다.
- LED 전구는 매우 효율적으로 빛을 생성하며, 적은 전력으로 더 많은 빛을 생성할 수 있습니다. LED는 에너지의 대부분을 빛으로 변환하고, 열을 적게 방출합니다.
2. 와트 차이
- 백열전구는 60W, 100W, 200W 등 다양한 용량이 있지만, 대체로 높은 와트 수가 필요합니다. 예를 들어, 60W 백열전구는 밝은 빛을 내기 위해 60와트를 소비해야 합니다.
- LED 전구는 같은 밝기를 낼 수 있지만, 낮은 와트로도 가능합니다. 예를 들어, 60W 백열전구와 비슷한 밝기를 내는 LED 전구는 보통 8W에서 12W 정도만 소비합니다.
3. 같은 밝기에서의 비교
- 60W 백열전구는 약 800 루멘의 밝기를 낼 수 있습니다. 이를 LED 전구로 대체할 경우, 8W에서 12W 사이의 LED 전구가 같은 밝기를 제공합니다.
- 100W 백열전구는 약 1600 루멘의 밝기를 내고, 같은 밝기를 내기 위해 15W에서 20W 정도의 LED 전구가 필요합니다.
4. 효율적인 에너지 소비
- LED는 같은 밝기를 낼 때 백열전구보다 적은 전력을 소비하므로, 에너지 절약과 긴 수명이 장점입니다.
- 예를 들어, 60W 백열전구를 10시간 사용한다고 가정할 때, LED 10W 전구를 사용할 경우, 소비하는 전력 차이는 약 50W 차이가 나게 됩니다.
와트 계산법, 와트 암페어 계산법, 와트 암페어, 와트 킬로와트, 와트 밝기, 와트 프리저, 볼트 와트 암페어, 와트 단위, 전기 와트 계산법, led와트와 백열전구 와트 차이, 전구 와트 차이